1.61803398874989484820458683436563811772
Nature's Golden Boy
The golden ratio, sometimes known as the golden mean, golden number, or the divine proportion, is a magical number that appears in too many places to be overlooked.
Spinning Spirals
Pictured below is a Fibonacci spiral based on boxes the size of the Fibonacci numbers. It's an approximation to the golden spiral, a type of logarithmic spiral which grows by a factor of phi every quarter turn.
WHERE DID IT COME FROM?
Suppose we want to know how to make it such that the ratio of the whole to the large part is the same as the large part to the small part. So, if a is the large part and b is the small part, then we want:
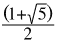
The unique value for a/b is known as the golden ratio. It is equal to
Symbology!
The symbol for the golden ratio φ was first used at the beginning of the 20th century by Mark Barr to honour Phidias (ca. 490-430 BC) a Greek sculptor whose works made extensive use of the golden ratio.
Fibonacci: Mining for Gold
The golden ratio also has an interesting relation to Fibonacci numbers. The Fibonacci numbers are a series of numbers in which the first two numbers are both 1, and each of the following numbers is the sum of the previous two numbers. They start: 1, 1, 2, 3, 5, 8, 13, 21, 34, 55, 89, ….
Now what is interesting, is that if you take any number in this sequence and divide it by the previous one, you get a fraction close to the golden ratio. The larger the numbers you use, the closer the approximation gets. So, the Fibonacci numbers and the golden ratio are intimately related, because the limiting ratio of the Fibonacci numbers is the golden ratio.
The spiral in the above animation was made with squares with dimensions of the Fibonacci numbers. Each new square adds a new section of the spiral, and the ratio between the side of this new square to the long side of the rectangle gets closer and closer to φ as the spiral gets bigger. This curve approximates a logarithmic spiral, which you can read about here .
Some interesting identities:
φn = φn-1 + φn-2Consequently:
- φ2 = φ + 1

Some infinite expansions:



